Phương pháp dòng điện nhánh là phương pháp phân tích mạch điện với ẩn số là dòng điện trong các nhánh.
Thứ tự các bước tiến hành phân tích
- Bước 1:Chọn và đánh số thứ tự (hay ký hiệu) các nút, các vòng độc lập của mạch. Tuỳ ý chọn chiều dòng điện các nhánh và chiều các vòng độc lập.
- Bước 2:Lập hệ phương trình Kirchhoff về dòng điện và Kirchhoff về điện áp cho các nút và các vòng độc lập đã chọn.
- Bước 3:Giải hệ phương trình để tìm trị số và chiều thực của dòng điện các nhánh.
Phân tích mạch điện sau tìm dòng điện các nhánh của mạch
.png)
Thứ tự các bước tiến hành phân tích
- Bước 1:Chọn và đánh số thứ tự (hay ký hiệu) các nút, các vòng độc lập của mạch. Tuỳ ý chọn chiều dòng điện các nhánh và chiều các vòng độc lập.
- Bước 2:Lập hệ phương trình Kirchhoff về dòng điện và Kirchhoff về điện áp cho các nút và các vòng độc lập đã chọn.
- Bước 3:Giải hệ phương trình để tìm trị số và chiều thực của dòng điện các nhánh.
Phân tích mạch điện sau tìm dòng điện các nhánh của mạch
.png)
Các bước tiến hành:
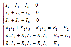
+ Ký hiệu các nút a,b,c,d, chọn ba nút độc lập là a,b,c và ba vòng độc lập I, II, III. Chiều dòng điện các nhánh và chiều các vòng được chọn như hình vẽ.
+ Hệ phương trình theo phương pháp dòng điện nhánh là:
+ Ký hiệu các nút a,b,c,d, chọn ba nút độc lập là a,b,c và ba vòng độc lập I, II, III. Chiều dòng điện các nhánh và chiều các vòng được chọn như hình vẽ.
+ Hệ phương trình theo phương pháp dòng điện nhánh là:
.png)
+ Giải hệ phương trình trên ta tính được trị số dòng điện các nhánh, từ đó xác định được chiều thực của chúng.
BÀI TẬP
.png)
Bước 1: Lựa chọn nguồn và linh kiện xây dựng mạch mô phỏng để giải bài tập (phần GIỚI THIỆU) như mạch dưới đây:
.png)
.png)
Bước 2: Thiếp lập giá trị các thành phần trong mạch. Chú ý chiều các nguồn điện.
Bước 3: Áp dụng phương pháp dòng điện nhánh, giải mạch điện và đưa ra các giá trị dòng điện trên các nhánh?
Bước 4: Chạy mô phỏng đã xây dựng ở bước 1, quan sát giá trị dòng điện trên các nhánh. Sử dụng Vôn kế đo điện áp trên các điện trở?
Bước 5: So sánh kết quả ở bước 4 với giá trị dòng điện tính toán được ở bước 3.
Bước 3: Áp dụng phương pháp dòng điện nhánh, giải mạch điện và đưa ra các giá trị dòng điện trên các nhánh?
Bước 4: Chạy mô phỏng đã xây dựng ở bước 1, quan sát giá trị dòng điện trên các nhánh. Sử dụng Vôn kế đo điện áp trên các điện trở?
Bước 5: So sánh kết quả ở bước 4 với giá trị dòng điện tính toán được ở bước 3.

