Mạch dao động dịch pha RC dùng BJT cókhâu khuếch đại mắc theo sơ đồ EC có góc di pha jK=1800, do đó khâu hồi tiếp phải di pha một góc jht= 1800nữa để tín hiệu hồi tiếp về đầu vào đồng pha với tín hiệu vào.
Với một khâu di pha RC thông cao, có hàm truyền đạt và góc dịch pha như sau:
.png)
Từ (2) ta thấy, mỗi mắt lọc thông cao RC gây nên sự di pha tín hiệu jRC< 900 khi R, C khác không. Để thực hiện di pha 1800 thì khâu hồi tiếp phải có ít nhất là 3 khâu RC, mỗi khâu di pha tín hiệu một góc jRC= 600. Có thể dùng các khâu RC có trị số khác nhau, tuy nhiên để đơn giản ta dùng 3 khâu RC có trị số như nhau. Muốn vậy các điện trở trong sơ đồ mạch điện phải thoả mãn điều kiện sau: R*= R1//R2//(rBE+RE) = R.
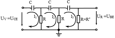
Khi đó, ta có mạch hồi tiếp dùng 3 khâu di pha RC thông cao như sau:
Khi đó, ta có mạch hồi tiếp dùng 3 khâu di pha RC thông cao như sau:
.png)
Hệ số hồi tiếp:
.png)
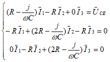
Lập hệ phương trình dòng điện mạch vòng cho khâu hồi tiếp:
.png)
Giải hệ phương trình ttìm được dòng điện I3 như sau:
.png)
.png)
.png)
Chỉ có thành phần có tần số f0 khi qua khâu hồi tiếp bị di pha 1800, còn các thành phần tần số khác thì bị di pha khác 1800. Nói cách khác điều kiện pha chỉ thỏa mãn với thành phần có tần số f0.
Tại tần số f0 hệ số hồi tiếp:
Tại tần số f0 hệ số hồi tiếp:
.png)
Điều kiện biên độ thỏa mãn khi khâu khuếch đại có hệ số khuếch đại K lớn hơn hoặc bằng 29.
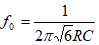
Khi thỏa mãn điều kiện dao động, cấp nguồn cho mạch. Trong giai đoạn quá độ, trên đầu ra khâu khuếch đại xuất hiện một điện áp đột biến. Do tính chất phi tuyến của Transistor nên điện áp đột biến này sẽ gồm nhiều thành phần có tần số khác nhau, được hồi tiếp trở về đầu vào qua mạch di pha. Duy nhất có thành phần tần số f0 là bị di pha 1800 khi qua khâu hồi tiếp và thỏa mãn điều kiện pha, còn các thành phần tần số khác đều bị di pha khác 1800. Dao động có tần số f0 ban đầu được khuếch đại với K>29 (lần) làm biên độ dao động ra tăng lên, và lại tiếp tục được hồi tiếp về đầu vào. Cứ như vậy, sau một số chu kỳ, biên độ dao động ra mau chóng tăng đến giá trị xác lập (ứng với K=29 lần). Lúc đó dao động ra ổn định có tần số:
Khi thỏa mãn điều kiện dao động, cấp nguồn cho mạch. Trong giai đoạn quá độ, trên đầu ra khâu khuếch đại xuất hiện một điện áp đột biến. Do tính chất phi tuyến của Transistor nên điện áp đột biến này sẽ gồm nhiều thành phần có tần số khác nhau, được hồi tiếp trở về đầu vào qua mạch di pha. Duy nhất có thành phần tần số f0 là bị di pha 1800 khi qua khâu hồi tiếp và thỏa mãn điều kiện pha, còn các thành phần tần số khác đều bị di pha khác 1800. Dao động có tần số f0 ban đầu được khuếch đại với K>29 (lần) làm biên độ dao động ra tăng lên, và lại tiếp tục được hồi tiếp về đầu vào. Cứ như vậy, sau một số chu kỳ, biên độ dao động ra mau chóng tăng đến giá trị xác lập (ứng với K=29 lần). Lúc đó dao động ra ổn định có tần số:
.png)
Tần số dao động ra của mạch dao động dịch pha RC dùng BJT thường cao hơn khoảng 25% so với giá trị tính toán do ảnh hưởng của hồi tiếp dương về đầu vào. Do đó để đảm bảo được tần số tín hiệu ra chính xác so với tính toán cần phải thiết lập các thông số mạch sao cho trở kháng vào của mạch lớn và trở kháng vào của mạch thấp. Thông thường để tối ưu hóa điều kiện trên người ta thường sử dụng mạch dao động dịch pha dùng bộ khuếch đại thuật.
Bước 1: Chạy mạch mô phỏng, quan sát dạng tín hiệu ra và tín hiệu trên 3 khâu hồi tiếp RC. Đưa ra nhận xét về sự dịch pha trên các khâu?
Bước 2: Nhấn nútReset sau đó quan sát tín hiệu ra, đưa ra nhận xét về khoảng thời gian mà dao động ra được thiết lập ổn định? Giải thích hiện tượng trên?
Bước 3: Xác định tần số tín hiệu ra? So sánh với giá trị tính toán bằng lý thuyết? Hoàn thành bảng giá trị sau:
Bước 2: Nhấn nútReset sau đó quan sát tín hiệu ra, đưa ra nhận xét về khoảng thời gian mà dao động ra được thiết lập ổn định? Giải thích hiện tượng trên?
Bước 3: Xác định tần số tín hiệu ra? So sánh với giá trị tính toán bằng lý thuyết? Hoàn thành bảng giá trị sau:
.png)
Bước 5: Từ bảng giá trị ở bước 4 đưa ra nhận xét về sự phụ thuộc của tín hiệu vào giá trị của khâu RC?
Bước 6:Thay đổi điện trở tải Rt = 10 Kohm. Xác định tần số tín hiệu ra so với giá trị lý thuyết, đưa ra nhận xét?
Bước 6:Thay đổi điện trở tải Rt = 10 Kohm. Xác định tần số tín hiệu ra so với giá trị lý thuyết, đưa ra nhận xét?
CLICK VÀO ĐÂY ĐỂ BẮT ĐẦU THỰC HÀNH

